TEAS 7 Math Practice 2 Quiz
Practice 2
-
Which value is the largest?
6.4 × 3.74
240%
24
1000/42
Correct Answer
Convert each value to a decimal, if that is not already done for you.
6.4 × 3.74 = 23.936
240% = 2.4
24 = 24
1000/42 ≈ 23.81
One may say that 240% is the largest value, but it is actually the smallest value in the list. Getting all the numbers in the same form, before comparing values, is imperative. By doing so, 24 is the biggest value.
Which of the following is not equivalent to 875%?
A. 35/4
B. 245/28
C. 8.75
D. 175/2
Correct Answer
875% = 875/100 = 8.75
875/100 = 35/4 (simplify by dividing the numerator and denominator by 25)
You could also divide 35 by 4 (35÷4), which equals 8.75 and the same applies to 245/28 = 245÷28 = 8.75.
However, 175/2 = 175÷2 = 87.5 = 8750%, which is not equivalent to 875%.
What number is seven less than three-fourths of forty-eight?
Correct Answer
Guess and check would work, but translating the given question into the following may make it easier to find the number.

The final exam grades from a class are listed in the given dot-plot. What is the mean? Round to the nearest whole number if necessary.

A. 77
B. 79
C. 80
D. 78
Correct Answer
Add up all of the grades and divide by 18, since there are 18 grades.
The sum of all of the grades is 1430. Dividing that by 18 yields 79.444444 which rounds to 79.
If a recipe that serves 8 people requires 3 cups of milk, about how many people will 10 cups serve? Round to the nearest whole number.
______ people
Correct Answer
Here is one way to set up a proportion. There are several other ways as well.

Do not forget to cross multiply and divide.
x ≈ 27 people (when rounded to the nearest whole number)
The following table illustrates what type of trend for a stock?

A. Positive
B. Negative
C. No relationship
D. Unable to determine
Correct Answer
As the years go up, the stock value went up. Each variable (year and stock value) head in the same direction, which indicates that there is a positive relationship.
If you were to solve the following problem using a proportion, which proportion would not yield the correct answer?
For every 5 boys in a class, there are 8 girls. If there are 32 girls in the class, how many boys are there?

Correct Answer
Recall that a common way to solve proportions is to cross multiply and divide.
You can solve each proportion for b (boys), by cross multiply 5 and 32 and then dividing by 8 except choice d. The proportion in choice d is set up incorrectly.
Based on the line graph, how many times did the unemployment rate increase from 1960 to 2020? Only enter a number.

Correct Answer
How many times does the line graph increase? This will tell us how many times the unemployment rate rose over the time interval.
The unemployment rate rose three times from 1960 to 2020, based on the line graph.
The time periods are:
- 1960 to 1970
- 1970 to 1980
- 2000 to 2010
What is 3.563 ÷ 2.4 × 7.32 rounded to the nearest hundredth?
A. 10.86
B. 10.87
C. 0.20
D. 0.21
Correct Answer
3.563 ÷ 2.4 × 7.32
A common misconception is that you should always multiply first, but that is not true. You multiply and divide from left to right, whichever comes first. Since division comes first, we divide first and then multiply.
3.563 ÷ 2.4 × 7.32 = 10.86715
However, the answer is 10.87, when rounded to the nearest hundredth.
Which of the following is/are equivalent to 384%? Select all that apply.
Which of the following is/are equivalent to 384%? Select all that apply.
Option A: 3.84
Option B:0.384
Option C: 96/25
Option D: 48/125
Option E: 125/48
Option F:3 21/25
Correct Answer
Which of the following is/are equivalent to 384%? Select all that apply.
Which of the following is/are equivalent to 384%? Select all that apply.
Option A: 3.84
Option B:0.384
Option C: 96/25
Option D: 48/125
Option E: 125/48
Option F:3 21/25
Convert 8 1/4 yards to inches. Round to the nearest whole number if necessary.
Only type in numbers. No decimals, letters, or symbols. Just numbers.
Correct Answer
There are 138 inches in 8 1/4 yards. The fast way to convert yards to inches is to multiply the yards by 36. This is true because 36 inches equals 1 yard.

Also, converting 8 1/4 to a decimal, which is 8.25 can make the calculation much faster. Notice that 8.25 × 36 also equal 297.
It is recommended that you memorize some length conversions, which include, but are not limited to the following:
12 inches = 1 foot
3 feet = 1 yard
36 inches = 1 yard
A proportion or dimensional analysis can solve this problem as well.
If Sierra drove 648 miles in 6 days, how many miles did she average each day?

Correct Answer
Divide 648 miles by 6 days to find the average miles per day.

A newborn weighs 8 pounds and 3 ounces. What is the baby's weight in just ounces? Only type in the number. Do not type in any letters, decimals, or commas.
Correct Answer
Since 1 pound is equal to 16 ounces, 8 pounds will equal 128 ounces. You can multiply 16 by 8 to get this. However, do not forget to add the 3 additional ounces, which gives us an answer of 131 ounces.
Evaluate the following and round to the nearest tenth:

Correct Answer

The ratio of the length to width of a rectangle is 5:4. Which of the following could not be the dimensions of the rectangle?
A. 25 feet by 16 feet
B. 40 inches by 32 inches
C. 60 cm by 48 cm
D. 75 mm by 60 mm
Correct Answer
The actual measurement (ft, inches, cm, and mm) does not matter. It is all about the numbers. Writing all of the dimensions as a ratio, or fraction, and then simplifying can show you the dimensions that would not match the ratio of 5:4.

All of the other fractions will simplify to the given ratio of 5:4. You can also try dividing and you will notice that all of the other ratios will divide to give you 1.25.

Solve for m.
3m -7 = 5m + 13
Do not include m = in your answer. Only type in the number that m is equal to.
Correct Answer
3m -7 = 5m + 13
Get the m on one side of the equation. You can either subtract 3m from both sides or subtract 5m from both sides. It does not matter. In this provided solution, we will subtract 5m from both sides.
-2m - 7 = 13
The most appropriate next move would be adding 7 to both sides.
-2m = 20
Finally, divide both sides by -2.
m = -10
What is the relationship between elevation and outdoor temperature?
A. Positive
B. Negative
C. No relationship
D. Unable to determine
Correct Answer
This is an example of a negative relationship. The higher the elevation, the lower the temperature. Think about a mountain. The higher you hike up a mountain, the cooler the temperature will be.
A newborn baby weighs 9 pounds and 4 ounces. Convert this weight to just pounds.
A. 9.4 lbs.
B. 9.04 lbs.
C. 9.25 lbs.
D. 9.36 lbs.
Correct Answer
9 pounds 4 ounces is the same thing as

The 4/16 represents 4 ounces out of 16 ounces that make a whole pound.
The population of a town over the last 50+ years is documented in the given table. Which of the following is the approximate average rate of change of the population of the town from 1960 to 2020?

A. 1433 people per year
B. 1333 people per year
C. 933 people per year
D. 1221 people per year
Correct Answer
To find the average rate of change, find the difference in values and divide that by the difference in time. Only focus on the years 1960 and 2020. None of the other years matter.

=1433peopleperyear
Evaluate the following.
36÷4(5−2)
Correct Answer

The answer is not 3. It is a common misconception that you should multiply the 4 and 3 together before dividing. That is incorrect. We divide first because the division comes before the multiplication, from left to right, in this problem.
Jackson needs at least $200 for spending money on an upcoming trip. His dad will pay him $15 per hour for doing yard work and his grandma will pay him $10 per hour for helping clean inside the house. Which inequality represents this problem, assuming d represents the number of hours he worked for his dad, and g is the number of hours he worked for his grandma?
A. 15d + 10g ≤ 200
B. 15d + 10g ≥ 200
C. 15d + 10g < 200
D. 15d + 10g > 200
Correct Answer
15d + 10g ≥ 200 is the correct answer.
Notice all of the choices are the same, with the exception of the inequality. Since Jackson needs at least $200, the words at least means ≥ (greater than or equal to). In reality, if you think about it, if Jackson were to get anything over $200, that would be just fine, as long as he has at least $200.
Evaluate:24÷3×8-4+12
A. 9
B. -15
C. 72
D. -7
Correct Answer

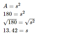
The area of a square is 180 ft2. What is the measure of a side of the square? Round to the nearest hundredth. Only use numbers and a decimal. Do not include letters.
Correct Answer
The formula for the area of a square is A = s2, where s is the measure of a side of the square. We are given an area of 180. Substitute that for A in the formula and solve for s. You will need to find the square root of both sides to solve for s.

Therefore, the measure of a side of the square, when rounded to the nearest tenth, is 13.42 feet.
The cost to rent a moving van is $20 per day plus an additional 25¢ per mile. If the van is rented for 4 days and the total mileage driven was 520 miles, what is the total cost for renting the van (excluding tax)? Round to the nearest dollar if needed. Do not type in a $ and do not enter a decimal. Only type in numbers for your answer.
Correct Answer
$20 per day for 4 days totals$80.
$0.25 (25¢) per mile for 520 miles totals $130.
The sum of these costs is the total costs, which would be $210.
A jar contains 108 marbles that are either red or blue. If there are 36 blue marbles in the jar, what is the ratio of red marbles to blue marbles?
A. 1:2
B. 2:1
C. 1:3
D. 2:3
Correct Answer
A jar contains 108 marbles that are either red or blue. If there are 36 blue marbles in the jar, what is the ratio of red marbles to blue marbles?
Be careful. You may have used 108 in your ratio, but 108 is the total number of red and blue marbles in the jar. We need to find the ratio of red to blue. Since there are 108 marbles in the jar and 36 of these marbles are blue, the remaining 72 marbles must be red.
A ratio is technically a fraction, but the order is important.
The ratio of red to blue can be written with a colon in between the colors or a fraction.
- red:blue
- red/blue
Therefore, we have 72 red marbles to 36 blue marbles.
Writing this as a fraction yields 72/36 = 2/1 or 2:1.
Christie can earn a higher grade in her math class if she spends more time practicing problems from her homework assignments. What type of relationship is this?
A. Positive
B. Negative
C. No relationship
D. Unable to determine
Correct Answer
This is an example of a positive relationship. The two variables in this problem are "time" spent practicing and the "grade" in the class. The more time Christie spends practicing problems, the higher her grade could be. Notice that both variables head in the same direction (as time goes UP, grades can go UP).
Take note that this would still be a positive relationship in the following scenario. The less time that Christie spends studying, the lower her grade would be. The variables are still heading in the same direction.
If the retail price of a coat is $77.00 and the sales tax rate is 6.75%, what would be the total cost of the coat? Round to the nearest cent.
A. $5.19
B. $5.20
C. $82.19
D. $82.20
Correct Answer
Sales tax = 0.0675 × $77 = $5.1975 ≈ $5.20
Total price = $77 + $5.20 = $82.20
The ratio of men to women at a conference was 2 to 3. If there were a total of 600 people at the conference, how many women were there?
Correct Answer
The ratio of men to women was 2 to 3. This means for every 2 men, there were 3 women. This also means there are 3 women for every 5 people. Why? Consider the following group: man, man, woman, woman, and woman. The ratio of men to women in that group is 2 to 3, just like our given ratio. Notice there are 3 women out of those 5 people. This is important because we can use a proportion with women and people.

Solving the proportion gives us a total of 360 women at the conference.
A quick way to check is to go ahead and figure out the number of men and see if the original ratio is true. Since there were 360 women, there must have been 240 men (600 - 360 = 240). Finding the ratio of men to women yields the following:

Notice the ratio of men to women is 2 to 3, which is our given ratio.
If a family drove 1300 miles in a vehicle that gets 18 miles per gallon, how much money did they spend if gas was $4.22 per gallon? Round to the nearest dollar if necessary.
A. $5545
B. $374
C. $432
D. $305
Correct Answer
The family's trip was 1300 miles. Since their vehicle got 18 miles per gallon, dividing 1300 miles by 18 miles per gallon means they used approximately 72.222222 gallons of gas. Multiplying those gallons by the price of a gallon of gas, which was $4.22 tells us that the family spent approximately $305 on gas for the trip.
A family spends around $1350 on miscellaneous items each month. Based on the family budget, what is their total monthly income?

Option A: $15,000
Option B: $12,150
Option C: $12,500
Option D: $13,500
Correct Answer
You can use the following proportion to find the "whole" (total) income.

The 1350 represents the miscellaneous "part" of their budget, which is 9%. Cross multiply and divide to get x = $ 15,000.
A patient's weight is 84 kilograms. What is the patient's weight in pounds? Use the following conversion: 1 kg = 2.2 lbs. Round your answer to the nearest whole number if necessary. Only enter numbers. No letters. No decimal.
_____ lbs.
Correct Answer
The fast way to convert kilograms to pounds is to multiply the kilograms by 2.2 since there are 2.2 pounds in one kilogram. A proportion or dimensional analysis will work fine as well.
84 x 2.2 = 184.8 ≈ 185 pounds
What is the range of the snow cone sales for the given year in the provided table?

A. $1,650
B. $715
C. $822
D. $1,520
Correct Answer
The range equals the difference between the maximum and minimum values in the data set.
The maximum sales were $1860 and the minimum sales were $210. Therefore, the range is equal to $1650 (1860-210).
The number of kernels popped in a bag of popcorn and the time the popcorn is cooked models a positive relationship. Which of the following is the dependent variable?
A. Number of kernels popped
B. Cooking time
C. Microwave wattage
D. Brand of popcorn
Correct Answer
The number of kernels popped depends on the cooking time.
Therefore, the number of kernels popped is the dependent variable.
Cooking time is the independent variable.
A patient is instructed to take 30 mL of a liquid medication, three times per day. The only measuring device the patient has is a teaspoon. How many teaspoons of the medication will the patient take in a day?
A. 18 tsp
B. 90 tsp
C. 15 tsp
D. 6 tsp
Correct Answer
We are not given a conversion for mL and teaspoons. It is recommended to know that 5 mL ≈ 1 tsp. Take note that this is an approximation, but it is commonly used in the nursing field.
The fast way to convert mL to tsp, is to divide the mL by 5, based on the conversion mentioned above. Therefore 30 divided by 5 is equal to 6. Therefore, there are approximately 6 teaspoons in 30 mL. However, the patient is going to do this three times per day, which means the patient will take 90 mL in all over the course of a day, which is the same as 18 teaspoons.
A proportion or dimensional analysis will work fine as well, just in case you get confused about knowing when to multiply versus when to divide. A proportion is shown below.

Translate the following statement into an algebraic equation. Use x as needed to represent the number.
Five less than twice a number is equal to seven more than the number.
A. 5 - 2x = x + 7
B. 5 - 2x = 7 + x
C. 2x - 5 = x + 7
D. 5x - 2 = x + 7
Correct Answer
2x - 5 = x + 7
Five less than twice a number means 2x - 5. When you want to find five less than something, you need to subtract five. This is a common misconception with translating algebraic problems. You could also write this as -5 + 2x. As long as the five has a minus (or negative sign) and the 2x has a positive 2 as the coefficient, you are good to go.
Seven more than the number can be written as x + 7 or 7 + x. Either way is fine.
Jackie tracked the miles that she ran each day during the week. What was the mode number of miles that Jackie ran?

A. 5
B. 0
C. 4.5
D. 3.5
Correct Answer
The mode is 4.5 miles because it occurs more than any other mileage over the course of the given week. Notice that 4.5 miles occurs twice, whereas all of the other daily mileage values occur once.
Samantha needs to make enough ice cream to serve 288 people. She has a recipe that requires 6 cups of sugar and that will serve 9 people. Sugar is sold in bags that contain 16 cups. How many bags of sugar does she need to purchase?
A. 9
B. 12
C. 15
D. 18
Correct Answer
Dimensional Analysis works great here!

Evaluate the following:


Correct Answer


A survey of 500 people showed that 32% of them preferred a plain cheese pizza as opposed to a pizza with toppings. How many of those surveyed preferred a pizza with toppings?
Correct Answer
Be careful, because 32% preferred cheese pizza, which means the remaining 68% preferred a pizza with toppings.
The question is asking how many out of the 500 preferred a pizza with toppings (68% of 500).
Fast way? Multiply 500 by 68%, which will equal 340 people.
Proportion? Sure!

Cross multiply and divide to get x = 340.
If you found 32% of 500, that would be 160, which is how many people preferred cheese pizza. Subtracting 160 from 500 will yield the answer to the question, which will be the number of people that preferred a pizza with toppings (500 - 160 = 340).
Based on the line graph, how many times did the unemployment rate decrease from 1960 to 2020? Only enter a number.

Correct Answer
How many times does the line graph decrease? This will tell us how many times the unemployment rate dropped over the time interval.
The unemployment rate dropped three times from 1960 to 2020, based on the line graph.
The time periods are:
- 1980 to 1990
- 1990 to 2000
- 2010 to 2020
Arrange the following in descending order.

Correct Answer
Descending order means from greatest to least. Use the order of operations to find the value of each expression. The correct order is shown below.

The retail price for a coat is $120.00, but the store is having a 25% off sale. How much money would a customer pay if he/she were to purchase the coat during the sale?
A. $30
B. $90
C. $24
D. $96
Correct Answer
The question is asking how much the customer would pay. This is referred to as the sale price.

Another way to calculate this is to find 75% of the original price. This is true because the customer is saving 25% which will leave him/her paying the remaining 75%.
Which of the following proportions will yield the same solution as the following:

Select all that apply, if there are any.

Correct Answer
All of the proportions will yield the same answer. Remember to cross multiply and divide!
A 5-foot child's shadow is 8 feet long at the same time that a flagpole's shadow is 101 feet long. How tall is the flagpole? Round to the nearest foot. Only enter numbers. No letters. No symbols. No decimals. Just numbers.
Correct Answer
There are multiple ways and proportions that can be used to solve this. Dimensional analysis would work as well! The proportion below is just one of many ways to correctly solve this.

Cross multiplying and dividing will give a value of x that is approximately 63.125 feet. When rounded to the nearest foot (one's place), the flagpole is approximately 63 feet tall.
A patient that has been admitted into a hospital weighs 124 pounds. What is the patient's weight in kilograms? Round to the nearest kg.
A. 56 kg.
B. 273 kg.
C. 58 kg.
D. 276 kg.
Correct Answer
You need to know that 2.2 pounds are approximately equal to 1 kilogram. The fast way to convert from pounds to kilograms is to divide the pounds by 2.2. You could use a proportion or dimensional analysis as well. We will look at the proportion approach below, but again, dimensional analysis works great too.
